Точность мысли     Погружение     Радуга книг     Поиск     О нас
Ваш путеводитель
по различным областям знаний
Источник знаний  
Источник знаний|Главная страница Поиск Напишите нам Карта сайта Добавить в избранное

Точность мысли


Разработка и дизайн сайтов WebPalette.RU
Разделы: Естественные науки | Физика

Нормаль к поверхности

Нормаль к поверхности – перпендикуляр к касательной плоскости в точке касания. Уравнение нормали легко составить как уравнение прямой, проходящей через данную точку M(x,y,z) в заданном направлении:


где X,Y,Z – текущие координаты.
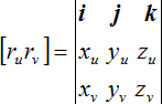
Пусть поверхность задана своим радиус-вектором r = r(u,v), тогда векторное произведение

указывает направление нормали к поверхности в данной точке, а единичный вектор нормали m к поверхности определяется по формуле:


x, y, z – прямоугольные координаты.
i, j, k – единичные векторы (орты), направленные по направлению координатных осей x, y, z соответственно.
k – кривизна пространственной или плоской кривой.
κ – кручение пространственной кривой.
u, v; α, β – криволинейные координаты на поверхности.
r (u, v) – радиус-вектор точки поверхности.
ρ(u) – радиус-вектор точки пространственной или плоской кривой.
ku, kv (kα, kβ) – кривизны координатных линий u, v; α, β.
Ru, Rv (Rα, Rβ) – радиусы кривизны координатных линий u, v; α, β.
χ – угол между координатными линиями u, v; α, β на поверхности.
k1, k2 – главные кривизны поверхности.
R1, R2 – главные радиусы кривизн поверхности .
E, F, G – коэффициенты первой квадратичной формы поверхности.
L, M, N – коэффициенты второй квадратичной формы поверхности.
A2 = E; B2 = G – коэффициенты Ламе в теории криволинейных координат.
K = k1k2 – гауссова кривизна поверхности.
H = (k1 + k2)/2 – средняя кривизна поверхности.


Спасибо Вам за добавление этой статьи в


Опубликовать в twitter.com Опубликовать в своем блоге livejournal.com

Рекомендуем книги

Задачник по физике
подробнее 


Квантовая теория поля в физике конденсированного состояния
подробнее 


Уравнения в частных производных. Сборник задач
Настоящий сборник задач по уравнениям в частных производных представляет собой переработанное и дополненное второе издание ...
подробнее 


Сборник задач по физике
Пособие представляет собой сборник вопросов и задач, составленный в соответствии с программой по физике для студентов высших ...
подробнее 


Введение в квантовую физику
В пособии рассмотрены основные проблемы классической физики, решение которых привело к созданию современной квантовой физики. ...
подробнее 


Основы физики. Волновая и квантовая оптика
Пособие охватывает все разделы курса физики для инженерно-технических специальностей высших учебных заведений и отвечает ...
подробнее 


Введение в физику ядра и частиц
Книга является заключительным разделом общего курса физики, посвященного атомным ядрам и элементарным частицам. Материал ...
подробнее 


Курс лекций по физике твердого тела для технических вузов
Книга представляет собой учебное пособие по курсу с одноименным названием, который читается автором в течение многих лет ...
подробнее 

RSS лента
Администрирование
Источник знаний © 2009 Все права защищены