Точность мысли     Погружение     Радуга книг     Поиск     О нас
Ваш путеводитель
по различным областям знаний
Источник знаний  
Источник знаний|Главная страница Поиск Напишите нам Карта сайта Добавить в избранное

Точность мысли


Разработка и дизайн сайтов WebPalette.RU
Разделы: Технические науки | Информационные технологии. Вычислительная техника

Гамма-функция

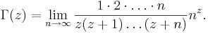
Гамма-функция (?, – гамма, третья буква греч. алфавита), Г-функция, Г-функция Эйлера, эйлеров интеграл 2-го рода, — одна из важнейших трансцендентных функций математического анализа, распространяющая понятие факториала на случай комплексных значений z. Г.-ф. впервые введена Леонардом Эйлером (1729); она определяется формулой Если действительная часть числа z положительна, то можно также пользоваться формулой (эйлеров интеграл 2-го рода).


Спасибо Вам за добавление этой статьи в


Опубликовать в twitter.com Опубликовать в своем блоге livejournal.com

Рекомендуем книги

Алгоритмизация комбинаторно-оптимизационных задач при проектировании ЭВМ и систем
подробнее 


Turbo Pascal для студентов и школьников
подробнее 


Задачник-практикум по информатике
подробнее 


Adobe Photoshop CS2 для студента (+ СD-ROM)
подробнее 


Информационные технологии
Учебное пособие охватывает широкий круг вопросов, связанных с организацией и внедрением информационных технологий на ...
подробнее 


Revit Architecture 2008. Компьютерное проектирование в архитектуре
Книга посвящена оригинальной системе автоматизированного проектирования Autodesk Revit Architecture 2008, используемой в ...
подробнее 


Основы информатики для экономистов
В пособии освещаются основные вопросы прикладной информатики в экономике: основные понятия и свойства экономической информации, ...
подробнее 


Информационные системы и их безопасность
Учебное пособие предназначено для студентов и слушателей среднего профессионального образования в области информационных и ...
подробнее 

RSS лента
Администрирование
Источник знаний © 2009 Все права защищены